EN
扬州瑞宏
  • 首页
  • 关于我们
  • 产品展示
    • 氨基酸
    • 氨基酸衍生物
    • 其他化学品
  • 新闻中心
    • 公司新闻
    • 行业新闻
  • 客户中心
    • 联系我们
    • 联系方式
  • 加入我们
全国统一咨询热线惠志涛:15380367604
  • 氨基酸
  • 氨基酸衍生物
  • 其他化学品
  • BOC-D-丙氨酸

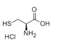
  • L-半胱氨酸盐酸盐一水物

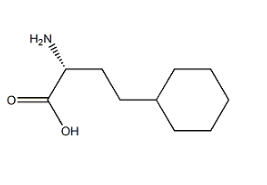
  • D-环己基丁氨酸

  • L-苯甘氨酸甲酯盐酸盐

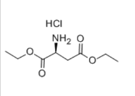
  • L-天冬氨酸二乙酯盐酸盐

  • D-酪氨酸甲酯盐酸盐

  • L-缬氨酸乙酯盐酸盐

  • 4,7,13,16,21,24-六氧-1,10-二氮双环[8.8.8]二十六烷

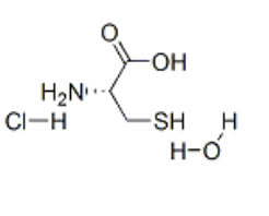
  • L-半胱氨酸盐酸盐(无水物)

<151617181920212223>

关于我们

产品中心

  • 氨基酸
  • 氨基酸衍生物
  • 其他化学品

联系我们

  • 电话:15380367604
  • 邮箱:435593641@qq.com
  • 地址:江苏省扬州市仪征市月塘镇魏井村村部东侧
扫一扫关注我们

扬州瑞宏   备案号:  苏ICP备2025208895号 XML地图

百度 腾讯 网易 阿里云